丸亀数理塾
読者になる
丸亀数理塾
丸亀駅から徒歩1分。大学受験のための「丸亀数理塾」のページです。
トップ
>
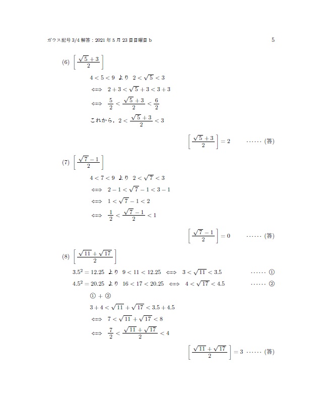
ガウス記号の簡単な練習解答
2021
-
05
-
23
ガウス記号の簡単な練習解答
PDF
でもUPしました.
«
累乗の和
ガウス記号の簡単な練習
»
引用をストックしました
ストック一覧を見る
閉じる
引用するにはまずログインしてください
ログイン
閉じる
引用をストックできませんでした。再度お試しください
閉じる
限定公開記事のため引用できません。
読者です
読者をやめる
読者になる
読者になる